3.1 多维随机变量 (cont’d)
二维连续型随机变量:令 $(X, Y)$ 为二维随机变量,且 $\displaystyle P\{(X, Y) \in G\} = \iint_G f(x, y) \mathrm dx \mathrm dy$,且有特点:
- $f(x, y) \ge 0$
- $\iint f(x, y) \mathrm dx \mathrm dy = 1$,即 $f$ 与 $xOy$ 平面之间的体积为 $1$
则 $(X, Y)$ 是二维连续型随机变量,$f(x, y)$ 是其联合概率密度函数。
分布函数:$\displaystyle F(x, y) = \int_{-\infty}^ y \int_{-\infty}^x f(u, v) \mathrm du \mathrm dv$
那么有 $\displaystyle f(x, y) = \frac{\partial^2 F(x, y)}{\partial x \partial y}$
【常见的二维分布】
均匀分布:若平面 $G$ 的面积为 $S$,且 $(X, Y)$ 的联合概率密度函数为 $$f(x, y) = \begin{cases} \frac{1}{S}, & (x, y) \in G \\ 0, & otherwise\end{cases} $$ 则称 $(X, Y)$ 在 $G$ 上服从均匀分布。
正态分布:若 $(X, Y)$ 的联合概率密度函数为 $$f(x, y) = \frac{1}{2\pi \sigma _1 \sigma_2 \sqrt{1 - \rho^2}} \exp \left( - \frac{(\frac{x - \mu_1}{\sigma_1})^2 - 2\rho (\frac{x - \mu_1}{\sigma_1})(\frac{y - \mu_2}{\sigma_2}) + (\frac{y - \mu_2}{\sigma_2})^2}{2(1 - \rho^2)} \right)$$ 其中 $\sigma_1, \sigma_2 > 0,\ |\rho| < 1$,则 $(X, Y)$ 服从参数为 $\mu_1, \mu_2, \sigma_1, \sigma_2, \rho$ 的二维正态分布,即 $(X, Y) \sim N(\mu_1, \mu_2, \sigma_1, \sigma_2, \rho)$.
3.2 边缘分布函数
边缘分布:对于二维随机变量 $(X, Y)$,$X, Y$ 各自的单随机变量分布称为边缘分布。
$$F_X(x) = P\{X \le x\} = F(x, +\infty) = \lim_{y \to + \infty} F(x, y)$$ $$F_Y(y) = P\{Y \le y\} = F(+\infty, y) = \lim_{x \to + \infty} F(x, y)$$ 由联合分布可以确定边缘分布;但由边缘分布一般不能确定联合分布(因为丢失了 $x, y$ 之间的关系)。
离散型随机变量的边缘分布: $$F_X(x) = \sum_{x_i \le x} \sum_{j = 1}^\infty p_{ij} = \sum_{x_i \le x} p_{i\cdot}$$ $$F_Y(y) = \sum_{i = 1}^{\infty} \sum_{y_j \le y} p_{ij} = \sum_{y_j \le y} p_{\cdot j}$$ 若将联合分布律列表,则关于 $X$ 的边缘分布 $p_{i·}$ 是对应行总和,关于 $Y$ 的边缘分布 $p_{·j}$ 是对应列总和
连续型随机变量的边缘分布:
$$\displaystyle F_X(x) = F(x, +\infty) = \int_{-\infty}^ x \int_{-\infty}^{+\infty} f(u, y) \mathrm dy \mathrm du = \int_{-\infty}^ x f_X(u) \mathrm du$$
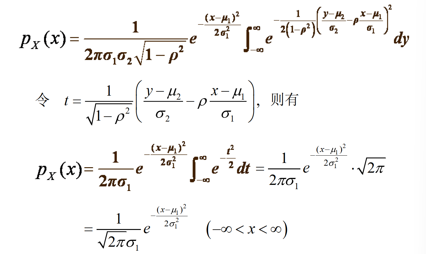
$$\displaystyle F_Y(y) = F(+\infty, y) = \int_{-\infty}^ y \int_{-\infty}^{+\infty} f(x, v) \mathrm dx \mathrm dv = \int_{-\infty}^ y f_Y(v) \mathrm dv$$从二维正态分布推边缘分布:
关键是使用高斯积分:$\displaystyle \int_{-\infty}^{+\infty} e^{-\frac{x^2}{2}} = \sqrt{2\pi}$
3.3 条件分布
条件分布律:
- 随机变量 $X$ 的条件分布律:$\displaystyle P\\\{ X = x_i | Y = y_j\\\} = \frac{p_{ij}}{p_{·j}},\ i = 1, 2, \cdots$
- 随机变量 $Y$ 的条件分布律:$\displaystyle P\\\{ Y = y_i | X = x_i\\\} = \frac{p_{ij}}{p_{i·}},\ j = 1, 2, \cdots$
条件分布函数:
- 离散情形:$\displaystyle F_{X|Y}(x|y) = P\\\{X \le x | Y = y\\\} = \frac{P\\\{X\le x, Y = y\\\}}{P\\\{Y = y\\\}}$
- 连续情形:

条件概率密度:$\displaystyle f_{X|Y}(x|y) = \frac{f(x, y)}{f_Y(y)}$ 为 $Y = y$ 的条件下, $X$ 的条件概率密度。
3.4 相互独立的随机变量
相互独立:对于两个随机变量 $X, Y$,$\forall a < b, c < d$,有 $$P\\\{a < X \le b,\ c < Y \le d\\\} = P\\\{a < X \le b\\\}·P\\\{c < X \le d\\\}$$则随机变量 $X, Y$ 相互独立。
相互独立的性质:
- $X, Y$ 相互独立 $\Leftrightarrow$ $\forall x, y,\ F(x, y) = F_X(x) F_Y(y)$
- 对于离散型随机变量 $(X, Y)$:$X, Y$ 相互独立 $\Leftrightarrow$ $\forall i, j,\ P\\\{X = x_i,\ Y = y_j\\\} = P\\\{X = x_i\\\} · P\\\{Y = y_j\\\}$
- 对于连续型随机变量 $(X, Y)$:$X, Y$ 相互独立 $\Leftrightarrow$ $\forall x, y,\ f(x, y) = f_X(x) f_Y(y)$ 几乎处处成立。
我们允许在平面上面积为零的集合(如一条曲线、有限个点等),使得等式 $f(x, y) = f_X(x) f_Y(y)$ 不成立。
多变量相互独立:若对于所有的 $( x_1, x_2, \cdots, x_n )$,有: $$F(x_1, x_2, \cdots, x_n) = F_{X_1}(x_1) F_{X_2}(x_2) \cdots F_{X_n}(x_n)$$
则称 $( X_1, X_2, \cdots, X_n )$ 相互独立。
设 $(X_1, X_2, \cdots, X_m)$ 的分布函数为 $F_1(x_1, x_2, \cdots, x_m)$,
$(Y_1, Y_2, \cdots, Y_n)$ 的分布函数为 $F_2(y_1, y_2, \cdots, y_n)$。
若它们的联合分布函数 $F(x_1, \cdots, x_m, y_1, \cdots, y_n)$ 满足:$$F(x_1, \cdots, x_m, y_1, \cdots, y_n) = F_1(x_1, \cdots, x_m) F_2(y_1, \cdots, y_n)$$
则称 $(X_1, X_2, \cdots, X_m)$ 与 $(Y_1, Y_2, \cdots, Y_n)$ 相互独立。
