1.7 两向量的数量积 (cont’d)
向量的模表达式:对于 $\boldsymbol a \{X, Y, Z\}$,则 $|\boldsymbol a| = \sqrt{X^2 + Y^2 + Z^2}$
空间两点距离公式:对于 $P_1(x_1, y_1, z_1), P_2(x_2, y_2, z_2)$,则 $\left|\overrightarrow {P_1P_2} \right| = \sqrt{(x_1 - x_2)^2 + (y_1 - y_2)^2 + (z_1 - z_2)^2}$
方向角:向量与三条坐标轴的正向夹角 $\alpha, \beta, \gamma \in [0, \pi]$
方向余弦:方向角的余弦值 $\cos \alpha, \cos \beta, \cos \gamma$
方向余弦性质:
- $x = |\boldsymbol a| \cos \alpha,\ y = |\boldsymbol a| \cos \beta,\ z = |\boldsymbol a| \cos \gamma$
- $\displaystyle \boldsymbol a^0 = \frac{\boldsymbol a}{|\boldsymbol a|} = (\cos \alpha, \cos \beta, \cos \gamma)$
- $\displaystyle \cos \alpha = \frac{x}{\sqrt{x^2 + y^2 + z^2}},\ \cos \beta = \frac{y}{\sqrt{x^2 + y^2 + z^2}},\ \cos \gamma = \frac{z}{\sqrt{x^2 + y^2 + z^2}}$
- $\cos^2 \alpha + \cos^2 \beta + \cos^2 \gamma = 1$
- $\boldsymbol a$ 在 $\boldsymbol b$ 上的投影为 $\displaystyle \frac{\boldsymbol a · \boldsymbol b}{|\boldsymbol b|}$
夹角余弦:$\boldsymbol a \{X_1, Y_1, Z_1\}, \boldsymbol b \{X_2, Y_2, Z_2\}$ 的夹角余弦为 $$\cos \theta = \frac{X_1 X_2 + Y_1 Y_2 + Z_1 Z_2}{\sqrt{X_1^2 + Y_1^2 + Z_1^2} \sqrt{X_2^2 + Y_2^2 + Z_2^2}}$$
- 两向量相互垂直充要条件为 $X_1 X_2 + Y_1 Y_2 + Z_1 Z_2 = 0$
- 柯西不等式:$\displaystyle \left(\sum_{i = 1}^n a_i b_i\right)^2 \le \sum_{i = 1}^n a_i^2 \sum_{i = 1}^n b_i^2$
1.8 两向量的向量积
向量积的物理意义:
向量积 / 外积:$\boldsymbol a \times \boldsymbol b$ 是一个向量,满足 $|\boldsymbol a \times \boldsymbol b| = |\boldsymbol a| |\boldsymbol b| \sin \angle (\boldsymbol a, \boldsymbol b)$,方向与 $\boldsymbol a, \boldsymbol b$ 都垂直,且形成右手标架 $\{ O: \boldsymbol a, \boldsymbol b, \boldsymbol a \times \boldsymbol b\}$
$|\boldsymbol a \times \boldsymbol b|$ 是两个向量为邻边构成的平行四边形的面积。
$\boldsymbol a, \boldsymbol b$ 共线的充要条件: $\boldsymbol a \times \boldsymbol b = \boldsymbol 0$
向量积的运算规律:
- 反交换:$\boldsymbol a \times \boldsymbol b = - \boldsymbol b \times \boldsymbol a$
- 与数乘的结合律:$(\lambda \boldsymbol a) \times \boldsymbol b = \boldsymbol a \times (\lambda\boldsymbol b) = \lambda( \boldsymbol a \times \boldsymbol b)$
- 左分配律:$\boldsymbol a \times (\boldsymbol b + \boldsymbol c) = \boldsymbol a \times \boldsymbol b + \boldsymbol a \times \boldsymbol c$
- 右分配律:$(\boldsymbol a + \boldsymbol b) \times \boldsymbol c = \boldsymbol a \times \boldsymbol c + \boldsymbol b \times \boldsymbol c$
向量积的性质:
- $(\boldsymbol a \times \boldsymbol b)^2 + (\boldsymbol a·\boldsymbol b)^2 = |\boldsymbol a|^2 |\boldsymbol b|^2$
向量积的坐标:
用分配律来计算。
1.9 三向量的混合积
混合积:$(\boldsymbol a \times \boldsymbol b) · \boldsymbol c$ 或 $(\boldsymbol a, \boldsymbol b, \boldsymbol c)$ 或 $(\boldsymbol{abc})$
混合积公式: $(\boldsymbol a \times \boldsymbol b) · c = |\boldsymbol a \times \boldsymbol b| · |\boldsymbol c| \cos \theta$,其中 $\theta$ 为 $\boldsymbol a \times \boldsymbol b$ 与 $\boldsymbol c$ 的夹角。
当 $\boldsymbol a = \boldsymbol b$ 时,$(\boldsymbol a, \boldsymbol b, \boldsymbol c) = 0$
混合积的几何意义:混合积的绝对值等于以 $\boldsymbol a, \boldsymbol b, \boldsymbol c$ 为棱的平行六面体的体积 $V$
- $|\boldsymbol a \times \boldsymbol b|$ 为底边面积,$|\boldsymbol c| \cos\theta$ 为六面体的高
- 当 $\boldsymbol a, \boldsymbol b, \boldsymbol c$ 构成右手标架,混合积为正
- 当 $\boldsymbol a, \boldsymbol b, \boldsymbol c$ 构成左手标架,混合积为负
$\bigstar$ 三向量共面的充要条件:三向量的混合积为 $0$。
混合积的性质:
- 混合积的因子循环位移,则混合积不变:$(\boldsymbol a \boldsymbol b \boldsymbol c) = (\boldsymbol b \boldsymbol c \boldsymbol a) = (\boldsymbol c \boldsymbol a \boldsymbol b)$(标架类型不变)
- 混合积的因子发生两因子交换,则混合积取反:$(\boldsymbol a \boldsymbol b \boldsymbol c) = -(\boldsymbol a \boldsymbol c \boldsymbol b) = -(\boldsymbol c \boldsymbol b \boldsymbol a) = -(\boldsymbol b \boldsymbol a \boldsymbol c)$(标架类型改变)
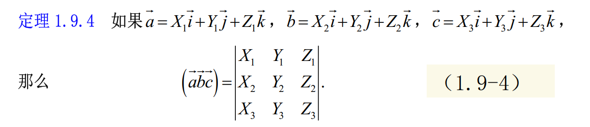
- 用坐标计算混合积:

- 由此可以得出,如果三个向量线性相关(共面),则混合积为零。
- 用混合积计算标架坐标:

1.10 三向量的双重向量积
双重向量积:$(\boldsymbol a \times \boldsymbol b) \times \boldsymbol c$
几何关系:$(\boldsymbol a \times \boldsymbol b) \times \boldsymbol c$ 与 $\boldsymbol a, \boldsymbol b$ 共面
一般情况下,双重向量积不满足结合律。
双重向量积的性质:

